Salah satu ketaksamaan penting dalam matematika adalah ketaksamaan Bernoulli: jika p ≥ 1, maka
(1 + a)p ≥ 1 + pa,
untuk setiap a > -1.
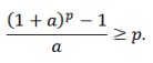
Untuk a = 0, ketaksamaan jelas berlaku. Selanjutnya misalkan a > 0. Dalam hal ini ketaksamaan di atas setara dengan

Untuk membuktikannya, tinjau fungsi f(x) = (1 + x)p, x ≥ 0. Ketaksamaan di atas berbunyi

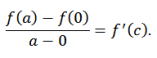
Karena f kontinu dan mempunyai turunan pada (0, a), menurut Teorema Nilai Rata-Rata untuk turunan, terdapat c di antara 0 dan a sedemikian sehingga

Tetapi
f’(c) = p(1 + c)p – 1 ≥ p(1 + c)0 = p
mengingat 1 + c > 1. Jadi ketaksamaan terbukti untuk a > 0. Selanjutnya, untuk -1 < a < 0, ketaksamaan Bernoulli setara dengan

Dengan cara serupa seperti di atas, dan mengingat 0 < 1 + c < 1, kita mempunyai
f’(c) = p(1 + c)p – 1 ≤ p(1 + c)0 = p.
Jadi ketaksamaan pun terbukti untuk -1 < a < 0.
Nah, dengan ketaksamaan Bernoulli, Anda dapat membuktikan perbandingan bunga majemuk yang diminta minggu lalu.
O ya, barangkali ada yang belum tahu, ada tiga matematikawan asal Swiss yang memiliki nama belakang Bernoulli, yaitu Jacob Bernoulli, Johann Bernoulli, dan Daniel Bernoulli. Jacob dan Johann adalah kakak dan adik. Daniel adalah anak dari Johann. Nah, siapakah di antara mereka yang namanya disematkan pada ketaksamaan di atas?
*
Bandung, 19-09-2017
