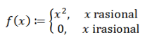
Kita telah mengetahui bahwa eksistensi turunan sebuah fungsi di suatu titik mengakibatkan kekontinuan fungsi di titik tersebut. Nah, apakah kita bisa menyimpulkan lebih daripada itu? Persisnya: apakah eksistensi turunan sebuah fungsi di suatu titik juga mengakibatkan kekontinuan fungsi di sekitar titik tersebut? Jawabannya negatif. Sebagai contoh, fungsi f yang didefinisikan sebagai

merupakan fungsi yang mempunyai turunan di 0 (dengan f ‘(0) = 0), tetapi f hanya kontinu di 0, tidak di titik lainnya.
*
Bandung, 18-07-2017
