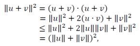
Dengan menggunakan Ketaksamaan Cauchy-Schwarz dan sifat-sifat hasil kali skalar, kita dapat memperoleh ketaksamaan segitiga:
![]()
Ketiga vektor u, v, dan u + v dalam hal ini membentuk suatu segitiga. Ketaksamaan segitiga menyatakan bahwa panjang vektor u + v senantiasa lebih kecil daripada atau sama dengan jumlah panjang vektor u dan panjang vektor v.

Buktinya relatif mudah. Perhatikan bahwa

sehingga kita peroleh ketaksamaan yang diinginkan.
*
Bandung, 10-12-2016

1 Comment