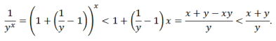
Penasaran dengan ketaksamaan pangkat + eksponen pada postingan sebelumnya? Ketaksamaan ini loh: jika x, y > 0, maka xy + yx > 1. Arini S. Putri sudah memberikan buktinya, tetapi detilnya belum sempurna. Saya perbaiki buktinya sebagai berikut. Jika salah satu di antara x atau y bernilai lebih besar daripada atau sama dengan 1, maka ketaksamaan jelas berlaku. Sekarang asumsikan x dan y lebih kecil daripada 1. Alih-alih menghitung xy dan yx, kita hitung 1/xy dan 1/yx. Menggunakan ketaksamaan Bernoulli II, kita mempunyai

Dengan cara yang sama, kita mempunyai

Karena itu, kita peroleh
![]()
Menurut saya, bukti di atas cukup cantik — saya menyukainya. Terima kasih kepada Arini S. Putri atas ide pembuktiannya. Anda pantas mendapat hadiah T-shirt Bermatematika, yang dapat Anda ambil pada acara Peluncuran Buku “Bermatematika: Bukan Sekadar Berhitung” di Gedung CAS-ITB, Senin 2 Oktober 2017, pukul 14.00-16.00.
*
Bandung, 29-09-2017
