Anda tentunya mengenal notasi n! (baca: n faktorial), yang merupakan singkatan dari bentuk perkalian n(n – 1)(n – 2) ∙∙∙ (2)(1). Sebagai contoh, 5! = 5∙4∙3∙2∙1 = 120. Nah, adakah fungsi kontinu yang terdefinisi untuk setiap bilangan real, atau setidaknya untuk bilangan real positif, yang merupakan perluasan dari fungsi faktorial f(n) = n! yang hanya terdefinisi untuk bilangan asli?
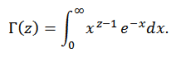
Fungsi gamma adalah jawabannya, tetapi fungsi ini tidak mempunyai rumus eksplisit. Ia didefinisikan sebagai bentuk integral, yakni

Sebagai integral tak wajar, integral ini konvergen mutlak untuk setiap z > 0. [Sebetulnya, fungsi Г(z) terdefinisi untuk semua bilangan kompleks z dengan Re(z) > 0, tetapi pada kesempatan ini anggaplah z merupakan bilangan real.]
Perhatikan bahwa

Selanjutnya, dengan pengintegralan parsial, kita mempunyai

untuk setiap z > 0. Jadi, dengan induksi, kita peroleh
![]()
untuk setiap bilangan asli n. Dengan demikian, f(z) = Г(z + 1) adalah fungsi yang dicari.
Perhatikan pula bahwa
![]()
untuk setiap bilangan ganjil k > 1. Jadi, bila kita mengetahui nilai Г(½), maka kita dapat mengetahui nilai fungsi gamma di bilangan-bilangan 3/2, 5/2, 7/2, dan seterusnya.
Nah, sebagai latihan, buktikan bahwa Г(½) = √π dengan mengubah integral yang mendefinisikan nilai Г(½) menjadi integral fungsi Gauss g(x) = exp(-x2) pada interval (0,∞), lalu hitung integral ini dengan trik seperti pada artikel sebelumnya. Sila coba!
*
Bandung, 24-03-2017

2 Comments