Bola yang berpusat di O(0, 0, … , 0) dan berjari-jari r di ruang Euclid berdimensi n adalah himpunan titik-titik (x1, x2, … , xn) dengan
![]()
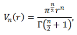
Rumus volume bola berjari-jari r di ruang Euclid berdimensi n adalah

dengan Г(∙) menyatakan fungsi gamma. Periksa bahwa V1(r) = 2r, V2(r) = πr2, dan V3(r) = (4/3)πr3, berturut-turut menyatakan panjang ruas garis (-r, r) pada garis bilangan (berdimensi 1), luas lingkaran berjari-jari r di bidang (berdimensi 2), dan volume bola berjari-jari r di ruang (berdimensi 3), yang telah kita kenal.
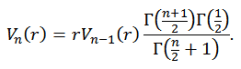
Rumus di atas dapat diperoleh melalui rumus rekursif

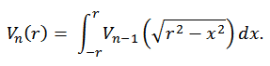
Rumus rekursif ini diperoleh pertama-tama dengan mengamati bahwa volume bola berjari-jari r di ruang berdimensi n merupakan jumlah volume irisan berpenampang bola berjari-jari (r2 – x2)½ di ruang berdimensi n – 1 (untuk –r ≤ x ≤ r), yakni

Nah, dengan menggunakan sifat kesebandingan, yakni Vn(r) = rnVn(1), kita peroleh

Selanjutnya tinggal menerapkan rumus rekursif ini beserta dengan sifat-sifat fungsi gamma, termasuk nilai Г(½) = √π.
*
Bandung, 31-03-2017

2 Comments