Kita telah membahas fungsi gamma yang merupakan perluasan dari fungsi faktorial f(n) = n!, yaitu fungi f(z) = Г(z + 1) yang terdefinisi untuk setiap bilangan real z > –1. Ingat jika z = n (suatu bilangan asli), maka Г(z + 1) = Г(n + 1) = n!.
Fungsi gamma dikenal sebagai integral Euler jenis kedua. Bila ada jenis kedua, tentu ada jenis pertama. Integral Euler jenis pertama adalah fungsi beta, yang didefinisikan sebagai

untuk p, q > 0. Nah, fungsi beta dapat dinyatakan dalam fungsi gamma sebagai

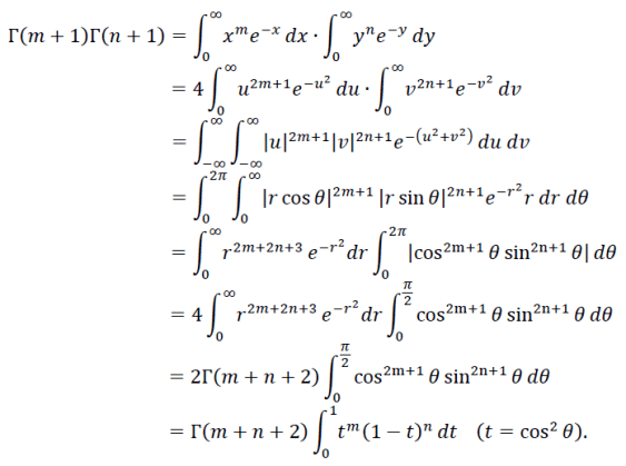
Buktinya adalah sebagai berikut. Misal m, n > –1. Maka

Jadi, dengan memisalkan p = m + 1 dan q = n + 1, kita peroleh

sesuai dengan yang diharapkan. O ya, perhatikan bahwa untuk p = q = ½, kita mempunyai

sehingga kita dapatkan Г(½) = √π.
*
Bandung, 28-03-2017
