Bilangan Euler e yang didefinisikan sebagai jumlah deret

merupakan bilangan irasional. Buktinya dapat ditemukan di banyak sumber, termasuk di dunia maya. Bila Anda pernah berkunjung ke blog ariaturns.com yang dikelola oleh Nursatria Vidya Adikrisna, Anda dapat menemukan buktinya di sana.
Sebagai blog matematika, rasanya tak lengkap bila Bermatematika.net tidak membahas irasionalitas bilangan e. So, baiklah, kita akan membahas buktinya di sini. Siapa tahu banyak yang belum pernah mengetahuinya.
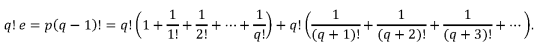
Untuk membuktikan bahwa bilangan e irasional, kita gunakan metode reductio ad absurdum, yaitu dengan mengandaikan bahwa e rasional. Dengan pengandaian ini, dan mengingat bahwa e adalah suatu bilangan positif di antara 2 dan 3, bilangan e dapat dituliskan sebagai p/q dengan p dan q bilangan bulat positif, dan q > 1. Jadi, kita mempunyai

Nah, sekarang kalikan masing-masing ruas dengan q!, sehingga kita peroleh

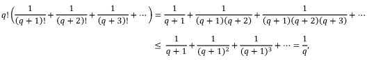
Perhatikan bahwa q!e = p(q – 1)! dan q!(1 + 1/1! + 1/2! + … + 1/q!) merupakan bilangan bulat positif, sehingga selisihnya seharusnya merupakan suatu bilangan bulat. Namun, kita amati bahwa

yang ternyata merupakan bilangan di antara 0 dan 1, bukan suatu bilangan bulat. Jadi kita peroleh suatu kontradiksi, yang bersumber dari pengandaian bahwa e rasional. Karena itu, e mestilah irasional.
*
Bandung, 18-07-2016

1 Comment