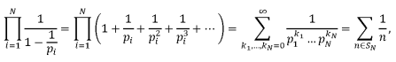
Misalkan p1 = 2, p2 = 3, p3 = 5, p4 = 7, p5 = 11, … adalah bilangan-bilangan prima yang terurut (membesar). Untuk setiap bilangan asli N, kita mempunyai

dengan SN adalah himpunan semua bilangan asli yang habis dibagi oleh p1, p2, …, atau pN, tetapi tidak habis dibagi oleh pi, i > N. Karena hasil kali di ruas kiri terhingga, jumlah di ruas kanan pun terhingga. Namun, semakin besar bilangan N, semakin besar himpunan SN dan sehubungan dengan itu semakin besar pula jumlah di ruas kanan. Karena deret harmonik 1 + ½ + ⅓ + ¼ + … divergen, jumlah di ruas kanan membesar ‘tak terbatas’ seiring dengan semakin besarnya N. Jadi hasil kali di ruas kiri pun membesar tak terbatas seiring dengan semakin besarnya N.
Nah, dengan bantuan fakta di atas, Leonhard Euler (1707-1783) membuktikan bahwa deret kebalikan bilangan prima, yaitu
![]()
merupakan deret yang divergen. Buktinya adalah sebagai berikut. Untuk setiap bilangan asli N, ambil nilai logaritma natural dari kedua ruas kesamaan di atas, dan gunakan sifat logaritma serta uraian deret Maclaurin untuk -ln(1 – x):

Andaikan deret kebalikan bilangan prima konvergen, maka deret di ruas kanan konvergen — karena deret jumlah suku-suku lainnya konvergen:

Akibatnya himpunan bilangan logaritma di ruas kiri ‘terbatas’. Tetapi ini mustahil, karena hasil kali

membesar tak terbatas seiring dengan semakin besarnya N. Karena itu kita simpulkan bahwa deret kebalikan bilangan prima mestilah divergen.
*
Bandung, 14-07-2016

2 Comments