Salah satu barisan bilangan yang terkenal adalah Barisan Fibonacci, yaitu barisan bilangan
1, 1, 2, 3, 5, 8, 13, 21, 34, 55, …
Perhatikan bahwa suku ke-3 merupakan jumlah dari suku ke-1 dan suku ke-2; suku ke-4 merupakan jumlah dari suku ke-2 dan suku ke-3; suku ke-5 merupakan jumlah dari suku ke-3 dan ke-4; dan begitu seterusnya. Barisan Fibonacci sering diilustrasikan dengan banyaknya pasangan kelinci yang beranak-pinak setiap bulan (bila umur kelinci telah mencapai 2 bulan atau lebih).

[Sumber gambar: www.maths.surrey.ac.uk]
Untuk mempelajari barisan Fibonacci lebih mendalam, misalkan Fn menyatakan suku ke-n pada barisan tersebut. Maka Fn memenuhi rumus rekursif
Fn+2 = Fn+1 + Fn, n = 1, 2, 3, … ,
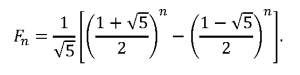
yang merupakan suatu persamaan beda linear orde 2. Rumus eksplisit untuk Fn dapat diperoleh dengan menyelesaikan persamaan tersebut. Caranya adalah dengan memisalkan Fn = rn, sehingga kita peroleh rn(r2 – r – 1) = 0. Karena rn ≠ 0, maka mestilah r2 – r – 1 = 0. Akar persamaan kuadrat ini adalah r = (1 ± √5)/2. Jadi solusi persamaan beda di atas adalah

Selanjutnya, kita mengetahui bahwa F1 = 1 dan F2 = 1. Dari kedua informasi ini, kita dapatkan (sila lengkapi detilnya): A = 1/√5 dan B = -1/√5, sehingga

Catat bahwa (1 + √5)/2 adalah Rasio Emas. Nah, problem untuk Anda sekarang adalah membuktikan bahwa rasio rn := Fn+1/Fn menuju r = (1 + √5)/2 ketika n menuju tak terhingga. Sila coba!
*
Bandung, 29-04-2016

2 Comments