Misalkan I suatu interval di R, bayangkan saja I = (a, b). Fungsi f : I → R dikatakan konveks apabila untuk setiap x, y ∈ I dan t ∈ [0, 1] berlaku
f(tx + (1 – t)y) ≤ tf(x) + (1 – t)f(y).
Jika f : I → R konveks dan x1 < x2 < x3 di I, maka
(x3 – x2)f(x1) + (x1 – x3)f(x2) + (x2 – x1)f(x3) ≥ 0.
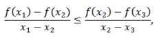
Dari ketaksamaan ini, kita peroleh

sehingga f mempunyai turunan kiri dan turunan kanan di setiap titik dan
![]()
untuk setiap x ϵ I. Dengan analisis yang cermat (tetapi tidak trivial — seperti kata Fajar Yuliawan), dapat dibuktikan bahwa f kontinu pada I dan mempunyai turunan kecuali mungkin di sejumlah terhitung titik di I.
Akibatnya, jika f : I → R konveks, maka untuk setiap c ∈ I terdapat setidaknya sebuah garis yang melalui (c, f(c)) dan berada di bawah kurva y = f(x), yakni
f(c) + m(x – c) ≤ f(x), x ϵ I,
dengan m bergantung pada c. Jika f mempunyai turunan di c, maka m = f’(c); jika f tidak mempunyai turunan di c, maka m dapat dipilih di antara nilai turunan kiri dan turunan kanan f di c. Garis tersebut disebut sebagai garis penyangga f di (c, f(c)).
Sebagai contoh, jika f(x) = x2 dan c = 0, maka garis y = 0 merupakan garis penyangga f di (0, 0). Tetapi, jika f(x) = |x| dan c = 0, maka sembarang garis y = mx dengan -1 ≤ m ≤ 1 merupakan garis penyangga f di (0, 0) — lihat gambar di bawah ini.

*
Bandung, 08-09-2017
