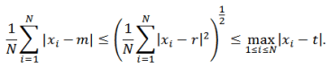
Diberikan data bilangan x1, x2, … , xN (yang terurut naik), ada hubungan yang menarik antara rata-rata (r), median (m), dan nilai tengah (t), yaitu

Ketaksamaan m–r–t ini memberi tahu kita bahwa simpangan baku (terhadap rata-rata) senantiasa berada di antara rata-rata simpangan mutlak (terhadap median) dan simpangan maksimum (terhadap nilai tengah).
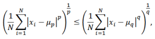
Ketaksamaan m–r–t hanya merupakan kasus khusus dari suatu ketaksamaan yang berlaku umum, yaitu

untuk 1 ≤ p ≤ q ≤ ∞, dengan μp menyatakan bilangan yang bersifat

untuk setiap x ϵ R. Dalam hal ini, μ1 = m (median), μ2 = r (rata-rata), dan μ∞ = t (nilai tengah) — lihat dua artikel sebelumnya.
Untuk membuktikan ketaksamaan di atas, perhatikan bahwa

Ketaksamaan terakhir diperoleh dengan menggunakan Ketaksamaan Hölder. Sebagai akibatnya, kita peroleh

Selanjutnya tinggal bagi kedua ruas dengan N, lalu ambil akar ke-p dari kedua ruas.
Catatan: Apakah statistikawan memanfaatkan ketaksamaan m–r–t? Mungkin, tetapi saya tidak tahu persisnya untuk keperluan apa.
*
Bandung, 18-08-2017

3 Comments