Fungsi paling sederhana setelah fungsi konstan adalah fungsi karakteristik, yang juga dikenal sebagai fungsi indikator, dari suatu himpunan bagian dari daerah asal fungsi tersebut.
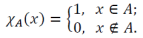
Misalkan f : X → R dan A ⊆ X. Fungsi f disebut fungsi karakteristik dari A apabila f(x) = 1 untuk setiap x ∈ A dan f(x) = 0 untuk setiap x ∉ A. Di kalangan matematikawan, fungsi ini biasanya dituliskan sebagai χA. Jadi
![]()
Perhatikan bahwa himpunan semua fungsi karakteristik yang didefinisikan pada X berkorespondensi satu-satu dengan himpunan kuasa 2X, yang beranggotakan semua himpunan bagian dari X.
Fungsi karakteristik merupakan salah satu fungsi penting dalam teori peluang. Jika X menyatakan ruang peluang, P menyatakan ukuran peluang pada X, dan A ⊆ X adalah suatu himpunan terukur, maka χA merupakan suatu peubah acak dengan nilai ekspektasi sama dengan peluang A. Dalam notasi integral, kita mempunyai:
![]()
Fakta ini kelak digunakan dalam pembuktian ketaksamaan Markov. Sila Anda cari terlebih dahulu artikel tentang ketaksamaan Markov deh..
*
Bandung, 28-11-2017

1 Comment