Seperti halnya kita mendefinisikan fungsi trigonometri tan x, cot x, sec x, dan csc x dari sin x dan cos x, kita juga dapat mendefinisikan fungsi trigonometri hiperbolik tanh x, coth x, sech x, dan csch x dari sinh x dan cosh x, sebagai berikut:

Kemudian, dengan membatasi daerah definisinya bila diperlukan, kita dapat mendefinisikan pula invers fungsi trigonometri hiperbolik. Sebagai contoh,
![]()
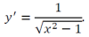
Nah, dari cosh y = ½(ey + e-y) = x, kita peroleh ey + e-y = 2x, dan akhirnya
![]()
Kemudian, dari rumus terakhir kita peroleh turunan dari y = cosh-1 x, yaitu
![]()
[Turunan dari y = cosh-1 x dapat pula diperoleh dari x = cosh y dengan Aturan Rantai dan kesamaan cosh2 x – sinh2 x = 1. Sila coba!]
Dalam artikel yang akan datang, saya akan memberikan contoh aplikasi menarik dari fungsi trginometri hiperbolik.
*
Bandung, 31-10-2017
