Hari ini adalah Hari Pi. Kita akan melihat peran penting bilangan π dalam kaitannya dengan fungsi sinc x. Ingat nilai integral fungsi sinc x pada R, yaitu

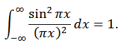
Nah, jika kita dilasi fungsi sinc x dengan faktor π, maka kita peroleh

Fungsi f(x) := sinc πx dikenal sebagai fungsi sinc yang dinormalisasi. Catat juga bahwa

Fungsi genap yang mempunyai nilai integral 1 dikenal sebagai fungsi kernel, yang aplikasinya dapat dijumpai dalam Statistika dan pemrosesan signal.
*
Bandung, 14-03-2017
