Dalam artikel tentang Barisan Fibonacci dan Rasio Emas – II, Anda sudah diperkenalkan dengan bentuk pecahan berlanjut:

Orang Yunani Kuno menggunakan pecahan berlanjut untuk menghampiri bilangan irasional seperti √2:

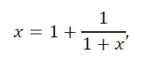
Untuk meyakinkan diri kita bahwa bentuk pecahan berlanjut di atas memang menyatakan bilangan √2, misalkan ia sama dengan x. Maka, x memenuhi persamaan

yang setara dengan x – 1 = 1/(1 + x), dan kemudian dapat disederhanakan menjadi x2 = 2. Jadi x mestilah sama dengan √2 (karena x tidak mungkin negatif).
Bentuk pecahan berlanjut untuk bilangan seperti √2 dapat diperoleh via Algoritma Euclid. Bila Anda ingin mengetahui bagaimana caranya, baca “Gara-Gara Hantu Lingkaran, Bab 2”.
*
Bandung, 07-05-2016

1 Comment