Masih ingat “Teka-Teki Pembagian Warisan“? Dalam teka-teki tersebut ada penguraian pecahan 17/18 = ½ + 1/3 + 1/9. Pecahan 17/18 merupakan pecahan komposit, sedangkan pecahan-pecahan ½, 1/3, dan 1/9 merupakan pecahan satuan — yakni pecahan yang berbentuk 1/n, dengan n merupakan bilangan asli (termasuk 1 = 1/1). Orang Mesir Kuno sudah akrab dengan pecahan satuan, dan cenderung menyatakan pecahan komposit sebagai jumlah dari beberapa pecahan satuan.
Pada tahun 1948, Paul Erdos dan Ernst G. Straus mengemukakan sebuah konjektur (dugaan) bahwa untuk setiap n ≥ 3, bentuk 4/n dapat dinyatakan sebagai jumlah dari tiga pecahan satuan berbeda. Sebagai contoh, untuk n = 3 dan 4, kita mempunyai 4/3 = 1 + ¼ + 1/12 dan 4/4 = 1/2 + 1/3 + 1/6.
Kadang terdapat lebih daripada satu cara untuk menguraikan bentuk 4/n, seperti misalnya untuk n = 5, kita mempunyai 4/5 = ½ + ¼ + 1/20 = ½ + 1/5 + 1/10. Anda dapat mencoba menguraikan 4/6 sebagai jumlah dari tiga pecahan satuan berbeda, dengan dua cara berbeda!
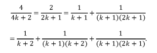
Hingga saat ini, konjektur ini masih merupakan open problem (belum terbukti, apakah benar atau salah). Hasil parsial telah diperoleh, misalnya untuk n = 4k (kelipatan 4), n = 4k + 2, dan n = 4k + 3. Sebagai contoh, untuk n = 4k + 2 (dengan k > 1), kita mempunyai

Nah, yang belum berhasil dibuktikan adalah kasus n = 4k + 1. Untuk k ganjil, tulis k = 2m + 1, bentuk 4/(8m + 5) dapat diuraikan sebagai jumlah dari tiga pecahan satuan berbeda (sila coba!). Jadi, yang tersisa adalah kasus n = 4k + 1 dengan k genap, yang setara dengan kasus n = 8m + 1. Bila Anda dapat membuktikannya, Anda akan terkenal di dunia!
Tentu saja Anda dapat juga berusaha menyangkal konjektur ini. Walau demikian, dengan bantuan komputer, konjektur ini telah diperiksa kebenarannya hingga n = 1014. Jadi, bila Anda hendak mencari contoh penyangkal, Anda harus menjajaki nilai n > 1014.
Sila tengok Erdos-Straus Conjecture bila Anda tertarik untuk menjajal problem 4/n ini. Kabar-kabari saya bila Anda berhasil membuktikan konjektur ini.
*
Bandung, 21-04-2016

1 Comment