Rumus Rekursif Solusi Persamaan Pell

Mungkin ada yang penasaran dengan rumus rekursif untuk solusi persamaan Pell x2 – 2y2 = 1 yang dibahas dalam dua artikel sebelumnya, yaitu

rumus rekursif Pell

untuk n = 1, 2, 3, … . Dari mana kita peroleh rumus ini?

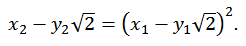
Perhatikan bahwa persamaan x2 – 2y2 = 1 setara dengan (x + y√2)(xy√2) = 1. Nah, setelah mendapatkan solusi positif pertama dari persamaan x2 – 2y2 = 1, yaitu x1 = 3 dan y1 = 2, kita dapat memperoleh solusi berikutnya, sebutlah x2 dan y2, dari persamaan

rumus rekursif Pell - 1

Bilangan x2 dan y2 yang memenuhi persamaan ini akan juga memenuhi persamaan

rumus rekursif Pell - 2

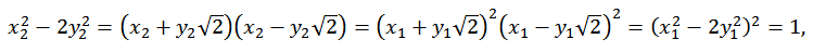
Akibatnya, kita mempunyai

rumus rekursif Pell - 3

yang menegaskan bahwa x2 dan y2 merupakan solusi persamaan x2 – 2y2 = 1.

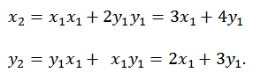
Dengan menguraikan bentuk kuadrat di ruas kanan persamaan (*) dan menyamakan koefisien √2, kita peroleh

rumus rekursif Pell - 4.png

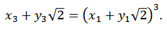
Solusi berikutnya, yaitu x3 dan y3, dapat diperoleh dari persamaan

rumus rekursif Pell - 5

Secara induktif, kita akan dapatkan rumus rekursif di atas untuk n = 2, 3, 4, … .

*

Bandung, 30-01-2018

1 Comment

  1. Terimakasih Pak Hendra.. artikel bapak berguna sekali dan mencerahkan matematika menjadi semakin menarik.

    Like

Leave a comment