Dengan menggunakan ketaksamaan Hölder yang telah dibahas dalam artikel sebelumnya, kita dapat membuktikan ketaksamaan Minkowski, yang berbunyi sebagai berikut: Misalkan 1 ≤ p ≤ ∞. Maka, untuk setiap N ϵ N, berlaku

Sebagai akibatnya, ketaksamaan juga berlaku untuk deret tak terhingga, asalkan kedua deret di ruas kanan konvergen.
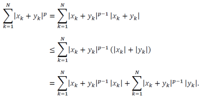
Bukti ketaksamaan Minkowski cukup cantik. Pertama, perhatikan bahwa

Sekarang misalkan q adalah eksponen dual dari p, sehingga (p – 1)q = p. Maka, dengan menggunakan ketaksamaan Holder, kita peroleh

Dengan demikian, ketaksamaan di atas menjadi

Dari ketaksamaan ini, kita peroleh

Tetapi 1 – 1/q = 1/p, dan kita dapatkan ketaksamaan yang diinginkan.
*
Bandung, 29-08-2017
