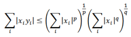
Ketaksamaan Hölder yang telah kita bahas pada artikel sebelumnya juga berlaku untuk p = 1 dan q = ∞ (serta untuk p = ∞ dan q = 1). Persisnya, untuk sembarang barisan (xi) dan (yi), berlaku

asalkan ∑i |xi| < ∞ dan |yi| ≤ M untuk setiap i ϵ N. Buktinya trivial, tidak memerlukan trik apapun.
Nah, bila kita gabungkan ketaksamaan ini dengan ketaksamaan Hölder yang telah dibahas sebelumnya, maka secara keseluruhan ketaksamaan

berlaku untuk 1 ≤ p, q ≤ ∞ dengan 1/p + 1/q = 1, asalkan kedua deret di ruas kanan konvergen, dengan konvensi bahwa 1/∞ = 0 dan

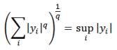
untuk q = ∞.
By the way, untuk 1 < p < ∞, bilangan q yang memenuhi 1/p + 1/q = 1 disebut sebagai eksponen dual dari p. Perhatikan jika q merupakan eksponen dual dari p, maka p otomatis merupakan eksponen dual dari q. Nah, konvensi di atas menetapkan bahwa eksponen dual dari 1 adalah ∞ dan eksponen dual dari ∞ adalah 1.
*
Bandung, 25-08-2017
